안녕하세요! 오늘은 많은 분들이 궁금해하시는 2026 공무원 봉급 인상 소식을 자세히 정리해 드리려고 해요. 내년도 공무원 보수 체계가 어떻게 바뀌는지, 그리고 그 배경에는 어떤 의미가 담겨 있는지 함께 살펴보겠습니다. 특히 이번 조정은 단순한 수치상의 변화가 아니라 사회 전반에 걸쳐 큰 영향을 미치는 결정이라 더 주목할 만해요.
2026년 공무원 봉급, 왜 3.5% 오를까?
2026년에는 공무원 보수가 3.5% 인상되는데요, 이는 지난 2017년 이후 무려 9년 만에 가장 큰 폭의 상승률입니다. 코로나19 직후 2021년에 0.9%라는 역대 최저 수준을 기록한 이후, 2022년 1.4%, 2023년 1.7%, 2024년 2.5%, 2025년 3.0%로 점차 올라왔는데요. 그 흐름의 정점이 바로 2026년입니다.
정부는 이번 결정을 통해 장기간 정체된 공무원 임금을 정상화하고, 민간 대비 격차를 줄여 공직사회의 불만을 완화하겠다는 방침을 내세우고 있습니다.
물가, 민간 임금과의 비교

공무원 봉급 인상은 단순히 내부 인건비 조정이 아니라 경제 전체와도 밀접한 관련이 있습니다.
- 한국은행이 내놓은 2026년 물가 상승률 전망치는 약 2.0% 수준이에요.
- 최저임금 인상률은 2.9%로 발표되었습니다.
이에 비해 공무원은 3.5% 인상률을 적용받아 상대적으로 높은 수준을 보이게 됩니다. 이는 민간 대비 뒤처진 임금을 일정 부분 보정하려는 정책적 의도가 담겨 있죠.
또한 2020년에는 공무원 임금이 민간의 90% 이상이었지만, 2024년에는 83.9%까지 떨어졌습니다. 그만큼 격차가 벌어졌고, 이를 줄이기 위해 정부가 적극적으로 나선 것입니다.
공시생 감소와 퇴직자 급증



공무원이라는 직업이 과거처럼 인기가 높지 않다는 점도 이번 결정의 배경이에요.
2021년 31만 명이던 공무원 시험 응시생 수는 2024년 12만 9천 명으로 급감했습니다. 반면, 정년 전 퇴직자 수는 2019년 6,500명에서 2023년 1만 3,566명으로 배 이상 증가했죠.
즉, 우수 인재의 유입은 줄고 기존 인력의 이탈은 늘어나면서 인건비 조정이 불가피했던 셈입니다. 이번 2026 공무원 봉급 인상은 조직 안정성을 위한 최소한의 안전장치라고도 볼 수 있습니다.
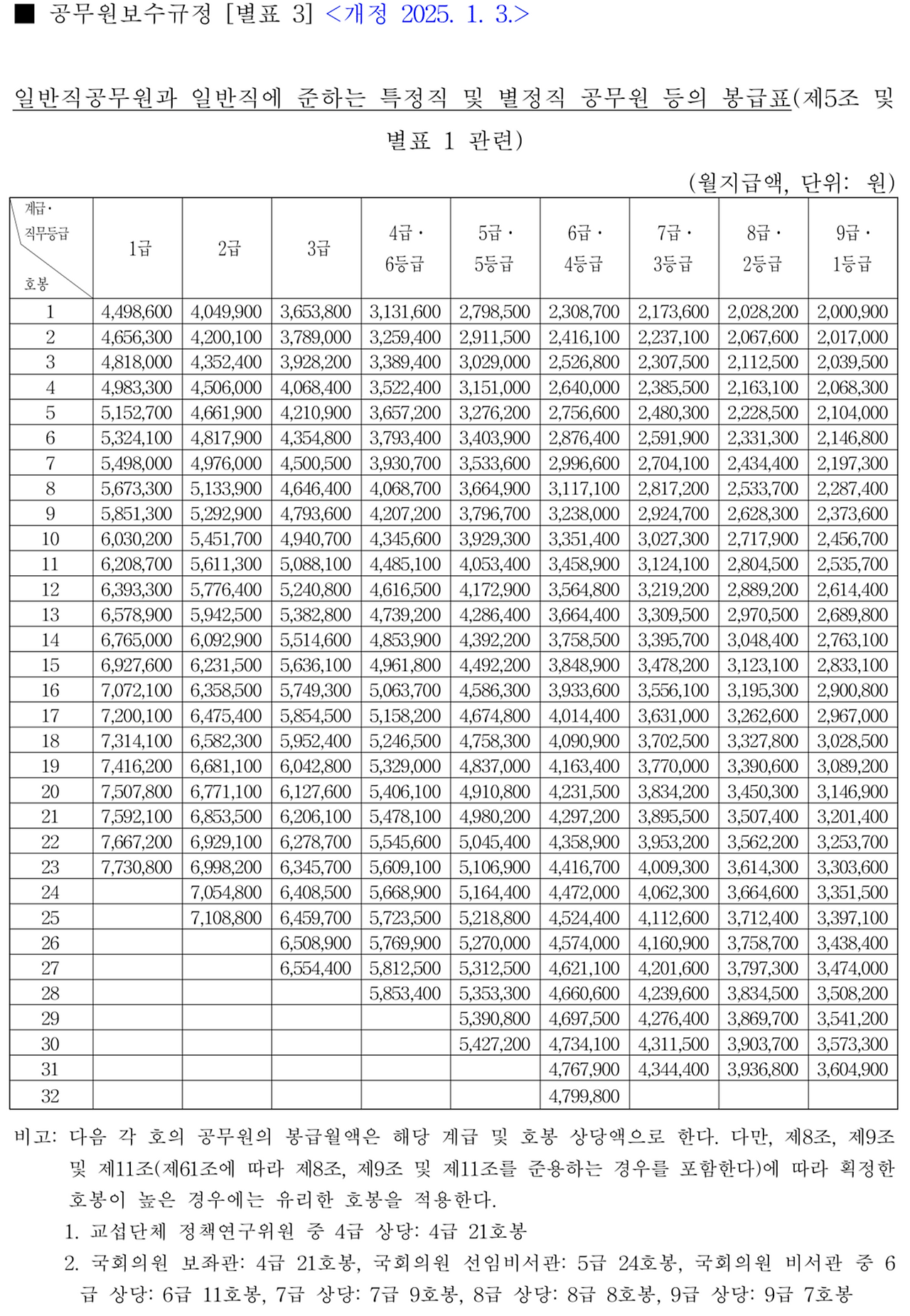
2026년 일반직 공무원 봉급표



구체적인 금액을 보면 9급 1호봉의 기본급은 2,070,900원으로 책정되었습니다. 수당까지 포함하면 연 3,300만 원 이상을 받게 되죠. 주요 구간을 정리하면 다음과 같아요.
- 1급 1호봉: 4,656,100원
- 4급 1호봉: 3,241,200원
- 6급 1호봉: 2,389,500원
- 7급 1호봉: 2,249,700원
- 8급 1호봉: 2,099,200원
- 9급 1호봉: 2,070,900원
교육공무원 봉급표



교사는 호봉제가 철저히 적용되어 근속 연한에 따라 임금 상승이 뚜렷합니다.
- 1호봉: 1,982,100원
- 10호봉: 2,471,400원
- 20호봉: 3,481,000원
- 30호봉: 4,826,800원
- 40호봉: 6,205,700원
특히 교직은 장기 근속할수록 보수가 크게 오르는 구조라 안정적인 생활을 이어갈 수 있다는 장점이 있어요.
경찰·소방 공무원 봉급표



치안과 안전을 책임지는 경찰과 소방 분야도 예외 없이 인상률이 반영됩니다.
- 순경·소방사 1호봉: 2,000,900원
- 경위·소방위 1호봉: 2,352,400원
- 경정·소방령 1호봉: 3,020,400원
- 총경·소방정 1호봉: 3,496,600원
- 치안정감·소방정감 1호봉: 4,739,200원
2026년 예산에는 경찰 신규 인력 6,400명 충원과 장비 현대화 계획도 포함되어 있어, 보수 인상과 함께 업무 효율성과 동기부여 효과가 기대됩니다.
군인 봉급표



군인의 경우 특히 병사 급여가 사회적 관심을 받고 있습니다. 2026년부터는 병장 기준 월 150만 원이 지급돼요.
- 소위 1호봉: 2,087,900원
- 대위 1호봉: 2,805,000원
- 소령 1호봉: 3,382,700원
- 중령 1호봉: 4,105,800원
- 대령 1호봉: 4,671,200원
- 준장 1호봉: 5,753,700원
- 소장 1호봉: 6,099,000원
병사 급여는 이등병 75만 원에서 시작해 병장 150만 원까지 오르며, 이는 청년 병역의무자 처우 개선과도 직접 연결됩니다.
종합 정리



이번 2026 공무원 봉급 인상은 단순한 급여 조정 이상의 의미를 갖습니다. 공직사회의 사기를 북돋우고 민간과의 격차를 줄이는 동시에, 인재 확보와 국가 경쟁력 강화를 위한 전략적 결정이라 할 수 있어요.
- 일반직렬: 9급 1호봉 2,070,900원
- 교육공무원: 1호봉 1,982,100원
- 경찰·소방: 순경·소방사 1호봉 2,000,900원
- 군인: 병장 1,500,000원
앞으로도 공무원 보수 체계는 경제 상황, 물가, 민간 임금과 긴밀히 맞물려 변화할 텐데요. 이번 2026 공무원 봉급 인상은 사회 전반에 긍정적인 신호를 주는 중요한 이정표라 할 수 있습니다.



2026 공무원 봉급 인상 요약
| 일반직렬 | 9급: 2,070,900원 8급: 2,099,200원 7급: 2,249,700원 6급: 2,389,500원 4급: 3,241,200원 1급: 4,656,100원 |
수당 포함 시 실수령액 상승 |
| 교육공무원 | 1호봉: 1,982,100원 10호봉: 2,471,400원 20호봉: 3,481,000원 30호봉: 4,826,800원 40호봉: 6,205,700원 |
호봉제, 근속연한 반영 |
| 경찰·소방 | 순경·소방사: 2,000,900원 경위·소방위: 2,352,400원 경정·소방령: 3,020,400원 총경·소방정: 3,496,600원 치안정감·소방정감: 4,739,200원 |
신규 인력 충원, 장비 현대화 예산 반영 |
| 군인 | 소위: 2,087,900원 대위: 2,805,000원 소령: 3,382,700원 중령: 4,105,800원 대령: 4,671,200원 준장: 5,753,700원 소장: 6,099,000원 |
병사 급여: 이등병 75만 원 → 병장 150만 원 |
2026 공무원 봉급 인상 Q&A



Q1. 2026 공무원 봉급 인상률은 얼마인가요?
A1. 2026년 공무원 봉급 인상률은 **3.5%**로 확정되었습니다. 이는 2017년 이후 9년 만에 가장 큰 폭의 인상입니다.
Q2. 왜 3.5%라는 인상률이 결정된 건가요?
A2. 물가 상승률(2.0%)과 최저임금 인상률(2.9%)을 상회하는 수준으로, 민간 대비 하락한 공무원 보수를 보정하고 인력 이탈을 막기 위한 정책적 결정입니다.
Q3. 9급 공무원 초봉은 얼마인가요?
A3. 2026년 9급 1호봉 초임은 2,070,900원으로 확정되었습니다. 각종 수당을 포함하면 연 3,300만 원 이상이 실질 보수로 책정됩니다.
Q4. 교육공무원은 어떻게 인상되나요?
A4. 교육공무원은 호봉제에 따라 차등 지급됩니다. 1호봉은 1,982,100원, 20호봉은 3,481,000원, 40호봉은 6,205,700원으로 확정되었습니다.
Q5. 경찰과 소방 공무원 초임은 얼마인가요?
A5. 순경·소방사 1호봉은 2,000,900원, 경위·소방위 1호봉은 2,352,400원으로 인상됩니다.
Q6. 군인 급여도 인상되나요?
A6. 네, 군인도 3.5% 인상률이 적용됩니다. 특히 병장은 월 150만 원을 받게 되며, 이등병은 75만 원, 일등병은 90만 원, 상등병은 120만 원으로 책정되었습니다.
Q7. 이번 인상의 의미는 무엇인가요?
A7. 이번 2026 공무원 봉급 인상은 단순한 급여 인상을 넘어, 민간과의 임금 격차 해소, 공무원 사기 진작, 우수 인재 확보, 공직 안정성을 위한 종합적인 조치라고 할 수 있습니다.





